## 项目概述
### 前言
心血管疾病属于致使全球出现残疾以及死亡的关键因素行列,其中高血压又是这类因素里相当关键的风险因子,及时察觉并且持续监测高血压,对预防和控制此类疾病意义重大。本项目设计了一个基于PPG信号的便携血压监测仪,设计了信号采集电路,使用ESP作为主控实时计算血压值,通过OLED显示出PPG波形和血压值,超过阈值会触发蜂鸣器报警。本项目可以为日常中血压检测作为一个预警参考。
### 血压的产生机理
血压所指的是,血液于血管之中流动时,针对血管壁施加的侧向压力,这是维持血液循环的关键动力所在,血压的产生,主要是依赖心脏泵血功能以及血管系统的阻力特性,当心脏处于收缩状态时,左心室会把血液泵入主动脉,这时所产生的压力被称作SBP,SBP是血压测量里的最高数值,它体现了心脏收缩期血液对血管壁的压力情况。紧接着,在心脏进入舒张期后,血液持续凭借外周血管进行流动,此时血管壁的弹性回缩作用,可维持血液的持续流动状态,这一阶段的压力被称为DBP,DBP代表着血压的最低值,展示了心脏舒张期间血液对血管壁的压力水平,影响血压大小的因素有很多,包含但不限于心输出量、外周阻力、血液黏稠度以及血容量。心输出量指的是心脏每分钟泵出的血液总量,心输出量越大,血压也就越高,外周阻力是由血管直径及其弹性决定的,阻力越大,血压相应会升高,较高的血液黏稠度会增加血液流动的阻力,导致血压上升,血容量的变化会直接对血压水平产生影响,比如失血或者脱水会致使血压下降。这些因素相互作用,共同决定了血压的动态变化情况,另外血压在一整天当中会出现波动,一般清晨时较高,夜间较低,这种节律性的变化受到神经系统、内分泌系统以及外界环境因素的影响与调节,在医学领域,血压一般采用毫米汞柱作为计量单位,正常情形下,成人SBP范围应当在90至140 mmHg之间,DBP应处于60至90 mmHg的区间内。要是测得的血压达到或者超过140/90 mmHg,又或者全天平均血压达到或者超过130/80 mmHg,那么就可诊断为高血压,长期存在的高血压或者低血压,可能会对健康造成不利影响,对血压进行定期监测以及有效管理十分关键。
### 脉搏波的产生机理
脉搏波是源于心脏周期性收缩与舒张所引发的血液动力学改变,在血管系统中传播形成的压力波动,其生成机制主要和心脏泵血功能以及血管弹性特性紧密相连,当心脏左心室收缩之时,大量血液迅速被泵入主动脉,致使主动脉内部压力瞬间升高,促使血管壁扩张,这种压力变动以波的形式顺着动脉朝全身扩散,形成了所谓的脉搏波。PWV取决于血管弹性以及血液流动的动力学属性,一般血管越硬,PWV越快,相反,血管越柔软,PWV则越慢,脉搏波的传播过程可分成两个关键阶段:先是前向传播波,这是因心脏泵血产生的压力波沿着动脉向外周传播,反映了心脏收缩功能以及血液流动的动力学特征,其次是反射波,当前向传播波抵达外周血管分支或者阻力较大的部位时,部分波会反射回来,这些反射波沿着血管返回心脏方向,和前向波叠加,一同构成了复杂的脉搏波形。脉搏波的波形有几个关键特征,收缩波是心脏收缩期间出现的主要波峰,反映了心脏泵血时的压力变化,舒张波出现在心脏舒张期,是由血管回缩作用引起的次级波峰,切迹则是位于收缩波下降段的一个小凹陷,一般与主动脉瓣关闭时的压力变化有关,这些特征综合起来构成了脉搏波的基本形态,可反映心血管系统的健康状况。脉搏波的形态和特征受到多种因素影响,涉及血管弹性、血液黏稠度、心输出量以及外周阻力等,凭借分析脉搏波可评估心血管系统的状态,还可以作为检测血管健康和诊断心血管疾病的有用指标,近些年来,PPG技术的发展为脉搏波的检测和分析提供了便捷途径,PPG信号依靠光学传感器捕捉皮下血液容积的变化,间接反映了脉搏波的特性,为无创血压监测和心血管健康评估提供了有力支持。
PPG是一种基于光学传感技术的无创检测手段,它依靠测量血液容积的周期性变化来获取脉搏波信号,它运用光的吸收和散射特性,再结合光电传感器检测透射光或者反射光强度的变化,在手指、耳垂等薄组织部位的透射式测量以及手腕等较厚组织部位的反射式测量中有着广泛应用。


依据公式(2-1)到(2-7),可观察到光强度变化和血液容积变化之间存在某种线性关系,PPG技术就是利用此点,借助监测光强度的周期性波动来间接反映血液容积的动态变化,以此获取脉搏波信号,这种方法给无创血压监测提供了可靠数据支持,对心血管健康评估也有意义,PPG技术依靠分析光在组织中的吸收和散射状况,可精准捕捉每次心跳引发的血容量变化,为临床诊断提供有价值的生理参数。
利用光照射人体指端表面或手腕位置,随着血液循环流动,在皮肤、肌肉、组织和血液的吸收作用下,光电传感器的接收端收到的光信号会出现衰减波动。通过此种辅助性手段可以得到 PPG。PPG 主要由两部分组成:一是皮肤、肌肉和组织对光吸收组成的直流分量;另一是血管中血液容积变化对光吸收组成的交变分量。典型的脉搏波形由两部分组成:上升支和下降支,如图2-1光电容积脉搏波波形图所示。

b点表示脉搏波的起始点,反映了主动脉瓣开放、心室开始射血以及动脉血压迅速上升的过程;c点是脉搏波的第一个波峰,代表心脏快速射血达到峰值,反映了心脏收缩时的最大血流量和压力;d点位于脉搏波下降段的转折点,表示射血速度减慢、动脉血管扩张达到极限以及血压开始逐渐下降的阶段;e点对应切迹,反映了主动脉瓣关闭瞬间血流回流受阻导致的动脉压力短暂下降;f点是重搏波的最低点,表示主动脉瓣完全关闭、左心室停止射血以及动脉压力达到最低值的状态;g点是重搏波的波峰,反映了血液回流受主动脉瓣反弹作用导致的动脉压力略微升高;心脏每次搏动从心脏收缩开始,左心室主动脉瓣打开,心室快速射血,动脉血管内的血液容积和压力迅速增加,导致血管内压力上升,形成脉搏波的上升支,即图2-1中b-c段波形。上升支的斜率和幅度受到心脏射血速度、外周阻力以及心输出量等因素的影响。若心脏射血速度快、心输出量大且外周阻力小,则上升支的幅度和斜率较大;相反,如果射血速度较慢、心输出量较低并且外周阻力较大,那么上升支的幅度和斜率都会减小。若动脉血管出现硬化现象,血管壁的弹性会减弱,缓冲效果也随之降低,使得动脉内的压力波动更加剧烈,从而导致上升支的幅度和斜率增大。心脏收缩末期,随着射血速度逐渐放缓,血管内的血流减少,动脉血管壁开始回缩,血管内的压力逐渐下降,形成脉搏波的下降段。在心脏舒张期,血压下降促使动脉中的血液逆流,此时主动脉瓣开始闭合。主动脉瓣闭合瞬间,下降支波形上会出现一个明显的切口,被称为降中峡或者重搏波低点。由于主动脉瓣阻止了血液的回流,脉搏波形在此处会出现短暂上升,这一现象称为重搏波。动脉血管的弹性越好,重搏波的幅度越大;若弹性较差,则重搏波的幅度较小。若主动脉瓣关闭不完全,部分血液会回流至左心室,导致下降支波形变得陡峭,重搏波可能不明显甚至完全消失。
## 硬件设计
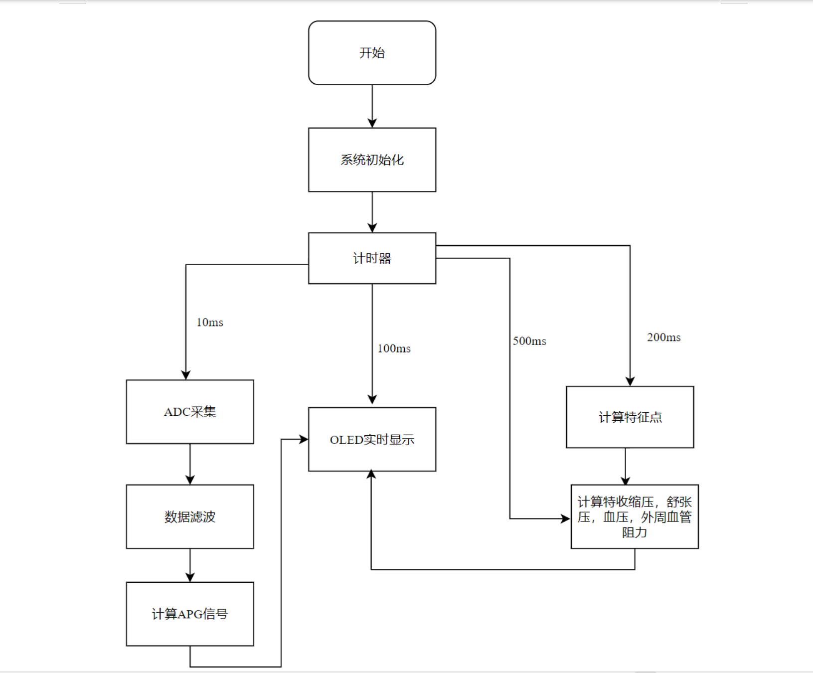
完成对脉搏波的采集。整个系统包括信号采集电路、滤波和电平抬升电路、主控制处理器电路、报警和显示电路。通过环境光传感器采集到脉搏波信号后,由于脉搏波信号是低频信号,频率集中在0.05Hz ~ 20Hz之间,经过带通滤波电路去除高频噪声和低频漂移。采集到的信号幅度较小,通常在几毫伏到几十毫伏之间,因此需要对信号放大和电平抬升处理。电平抬升后的信号送入ESP8266单片机进行A/D转换,最后通过单片机进行数据处理,计算出脉搏波多特征参数和血压值,对超过阈值的信号进行报警处理,最后将结果通过OLED显示出来。整个系统设计结构图如图所示:

## 软件设计

## 仿真设计
**硬件仿真结果**:





**算法仿真结果**

## 展示

开源仓库:
https://github.com/heiweilu/ESP8266_BP_Monitor
了解 Heiweilu的小世界 的更多信息
订阅后即可通过电子邮件收到最新文章。










